KKTC Bakanlar Kurulu’nun 3 Aralık’ta aldığı ve online casino oyunlarına fiilen izin veren “Müşterek Bahis Düzenlemesi” kararının Ankara’nın uyarıları ve kamuoyu tepkisi üzerine iptal edildiği öne sürüldü. 700 bin euro karşılığında internet üzerinden casino oyunu oynatma hakkı veren düzenleme, muhalefet tarafından “yetki aşımı” olarak nitelendi.
Bugün Kıbrıs’ın haberine göre Kuzey Kıbrıs Türk Cumhuriyeti’nde (KKTC) Ulusal Birlik Partisi (UBP)-Demokrat Parti (DP) ve Yeniden Doğuş Partisi’nden (YDP) oluşan hükümetin 3 Aralık’ta aldığı online casino kararı, Resmi Gazete’den kaldırıldı.
Ankara finans sistemi için risk gördü
Habere göre Türkiye, KKTC’deki online casino düzenlemesinin finans sistemi ve bankacılık açısından risk yaratacağı gerekçesiyle uyarılar iletti. Bu uyarılar, kararın iptal edilmesindeki en kritik unsurlardan biri oldu.
CTP’li Şahiner, sanal bahis/casino tasarısını savunan ismin tutuklu yargılanan Başbakanlık Müsteşarı Hüseyin Cahitoğlu’nu hatırlattı:
“Bu modeli Meclis’e siz taşıdınız. MASAK’ın risk uyarılarına rağmen 700 bin euroluk lisans ve yedi domain hakkı hazırlığını kimler için yaptınız? MASAK’ın uyarılarını biliyordunuz. Buna rağmen bir gecede kararnameyle sanal casino’yu yasallaştırabileceğinizi sandınız. Tepki gelince panikle geri çektiniz. Bu niyetin belgesidir.”
Ne oldu?
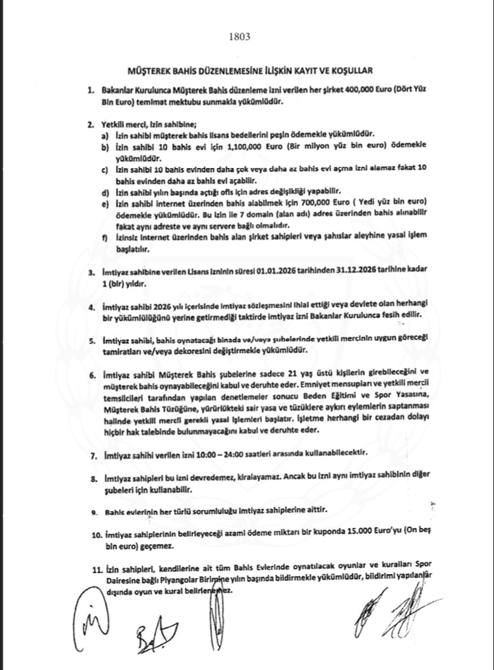
Bugün Kıbrıs Gazetesi Genel Yayın Yönetmeni Ayşemden Akın’ın haberine göre Bakanlar Kurulu, 3 Aralık tarihli Resmi Gazete’de yayımlanan “Müşterek Bahis Düzenlemesine İlişkin Kayıt ve Koşullar” kararıyla, Şans Oyunları Yasası’nı doğrudan değiştirmeden, Spor Yasası’nı kullanarak online casino faaliyetlerine izin veren yeni bir mekanizma oluşturdu. Bu yöntem, açık yasağın yer aldığı Şans Oyunları Yasası’nın idari bir kararla etkisiz hale getirilmesi anlamına geliyor.


Karara göre bahis şirketleri 700 bin euro karşılığında internet üzerinden casino oyunu oynatma hakkı elde edebiliyor. Düzenlemedeki 13. madde, fiziksel casino oyunlarının yasak olduğunu açıkça belirtirken, aynı yasağı internet siteleri için istisna tutuyor. Böylece, bahis evlerinde yasak olan casino oyunları dijital platformlarda serbest hale geliyor. Bu durum, KKTC’de online kumar trafiğinin bugüne dek “yasadışı” kategorisinde değerlendirilen bölümünü resmî bir izne dönüştürüyor.
MASAK’ın daha önce müdahale ettiği sanal casino akışı, bu düzenlemeyle “denetimli” bir alan olarak yeniden tanımlanmış oluyor. Ancak hukuk çevreleri kararı “yetki aşımı” ve “normlar hiyerarşisine aykırılık” olarak değerlendiriyor. Kulislerde, hamlenin “pazarın yeniden dizaynı” ve “büyük operatörlerin önünü açma” hedefi taşıdığı konuşuluyor.
UBP-DP-YDP Hükümeti’nin sessiz sedasız aldığı bu karar, hem online kumar ekonomisini hem de KKTC’de uzun süredir süren yasa dışı bahis tartışmalarını yeni bir aşamaya taşıdı.








