2026 bütçesinin Meclis maratonu başlıyor. Meclis Başkanlığı’na sunulan teklif 23 Ekim’de Plan ve Bütçe Komisyonu’na gelecek. 18,9 trilyon lira gider, 16,2 trilyon lira gelir öngörülen bütçe teklifinde, bütçe açığına denk bir faiz ödemesi yapılması bekleniyor. Ayrıca Gelir Vergisi’nden 3,6 trilyon, Kurumlar Vergisi’nden 1,7 trilyon, ÖTV’den 2,5 trilyon ve KDV’den 3,5 trilyon liralık gelir hedefleniyor. Ancak vergi harcamaları adı altında 3,6 trilyon tutarında vergiden, istisna ve muafiyetler kapsamında vazgeçiliyor.

2026 bütçe kanunu teklifi TBMM Başkanlığı’na sunuldu. Cumhurbaşkanı Yardımcısı Cevdet Yılmaz, dün (16 Ekim) bütçe bağlama töreninde temel büyüklüklere ilişkin bilgi verdi. Teklife göre, 2026 yılında bütçe giderleri 18 trilyon 929 milyar lira, bütçe gelirleri ise 16 trilyon 216 milyar lira olarak öngörüldü.

Bütçe maratonu 23 Ekim’de başlayacak
TBMM Plan ve Bütçe Komisyonu’nda bütçe maratonu 23 Ekim Çarşamba günü, saat 14.30’da Cevdet Yılmaz’ın sunumu ile başlayacak. Komisyon üyelerinin hazırlıkları için verilecek bir haftalık aranın ardından, 30 Ekim’de bütçenin geneli üzerine görüşmeler yapılacak. TBMM’nin, bakanlıkların ve bağlı kurumların, Cumhurbaşkanlığı’nın bütçeleri üzerine görüşmeler bir aylık komisyon maratonunun ardından, 28 Kasım Cuma günü tamamlanacak.
Verilecek aranın ardından teklif TBMM Genel Kurulu’nda görüşülecek ancak Genel Kurul’da gelir azaltıcı veya gider artırıcı öneriler yapılamayacak. Bu nedenle, bütçe büyüklüklerine ilişkin esas tartışmaların Komisyon sürecinde yürütülmesi gerekiyor. Genel Kurul’daki görüşmeler Aralık ayında yapılacak.
Bütçe açığına denk faiz ödemesi
Merkezi yönetim bütçesinin önceki yıla göre yüzde 28 artışla 18 trilyon 928 milyar lira olması öngörülüyor. Hazine ve Maliye Bakanlığı’na ayrılan 8 trilyon 840 milyar liralık bütçe giderlerinin 2 trilyon 741 milyar lirasını faiz giderleri oluşturuyor. Bu tutar aynı zamanda, 2026 yılında 2,7 trilyon liralık bütçe açığına da denk oluyor.
3 trilyon 597 milyar liralık vergi gelirinden vazgeçilecek
Bütçe kanunu teklifine göre, 2026 yılında 3 trilyon 597 milyar liralık vergi harcaması öngörülüyor; diğer bir deyişle bu tutarda vergi gelirinden vazgeçiliyor. Vergi harcaması, devletlerin gelir toplamını azaltan, standart vergi sisteminden ayrılan ayrıcalıklar veya istisna ve muafiyetler anlamına geliyor. Teklife göre, 2026 yılında toplam bütçe geliri olan 16 trilyon 216 milyar liranın yüzde 22’si düzeyinde vergi gelirinden vazgeçilecek.
Asgari ücretin vergi dışı tutulmasından, elektrik ve doğalgaz için yapılan desteklere kadar pek çok kalemde vazgeçilen vergi bu kalemde hesaplansa da, büyük kurumların silinen vergileri veya şirketler için uygulanan muafiyetler ve istisnalar da vergi harcaması olarak sayılıyor. 2026 yılında vergi harcaması tahminleri gelir vergisinde 1 trilyon 729 milyar lira, kurumlar vergisinde 768 milyar lira, katma değer vergisinde ise 728 milyar lira olarak öngörüldü.

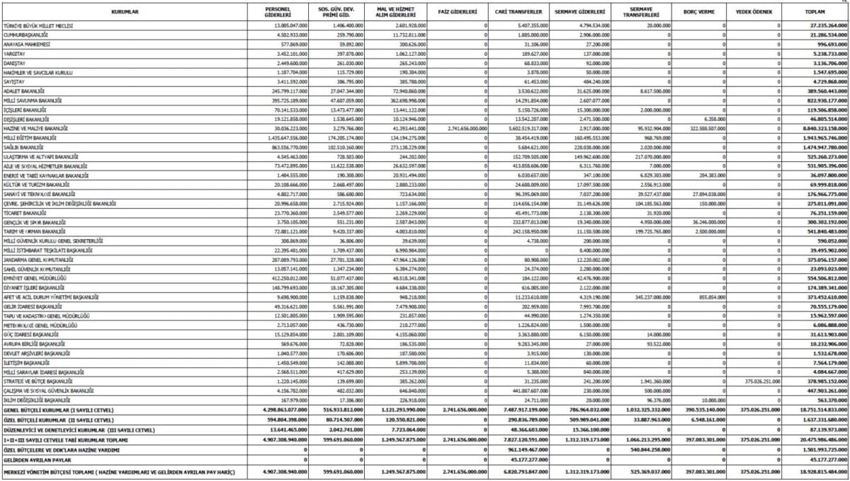
Eğitim ve Sağlık Bakanlıklarında en büyük kalem personel giderleri
Bu bütçenin içinde Hazine ve Maliye Bakanlığı’ndan sonraki en büyük payı, 1 trilyon 944 milyar lira ile Milli Eğitim Bakanlığı alıyor. Yükseköğretim kurumlarına ayrılan bütçe de dahil edildiğinde 2 trilyon 896 milyar liralık eğitim bütçesi, yüzde 15,3 ile bu yıl da merkezi yönetim bütçesinden en çok payın ayrıldığı alan oluyor.
Sağlık Bakanlığı’na 1 trilyon 475 milyar liralık bütçe öngörülürken, her iki bakanlıkta da en yüksek ödenek personel giderleri için ayrılıyor.
822,9 milyar lirayla Milli Savunma Bakanlığı, 541,8 milyar lirayla Tarım ve Orman Bakanlığı, 531,9 milyar lirayla Aile ve Sosyal Hizmetler Bakanlığı, 525 milyar lirayla Ulaştırma ve Altyapı Bakanlığı en çok bütçenin ayrıldığı diğer bakanlıklar oldu. Emniyet Genel Müdürlüğü, 554,5 milyar lirayla bakanlıklardan sonra en yüksek bütçenin ayrıldığı kurum oldu.
Cumhurbaşkanlığı bütçesi, mal ve hizmet alımlarına
TBMM’nin bütçesi 27 milyar lira iken Cumhurbaşkanlığı’na 21 milyar liralık bütçe gideri öngörülüyor. Cumhurbaşkanlığının giderlerinin büyük bölümünü 11,7 milyar liralık mal ve hizmet alımları oluşturuyor.
Merkezi yönetim bütçesinden Diyanet İşleri Başkanlığı’na 174 milyar lira, İletişim Başkanlığı’na 7,6 milyar liralık ödenek ayrılması öngörüldü. Afet ve Acil Durum Yönetimi Başkanlığı’na (AFAD) 373 milyar lira bütçe ayrılırken, deprem hasarlarının giderilmesi ve afetlere karşı dirençliliğin artırılması için ayrılan toplam ödenek 653 milyar lira oldu.
Savunmaya 2 trilyonluk ödenek
Cevdet Yılmaz’ın aktardığına göre savunma harcamaları için 1 trilyon 202 milyar lira, iç güvenlik harcamaları için 953 milyar lira olmak üzere savunma ve güvenlik sektörü için toplam 2 trilyon 155 milyar lira ödenek ayrılması öngörüldü.
Sosyal yardım ve destekler içinse 917 milyar liralık kaynak aktarılırken, Yılmaz’ın vergi istisnalarını da dahil ederek aktardığı hesaba göre sosyal harcamaların 2026’da 2 trilyon 382 milyar lira olması bekleniyor.
Alkollü içki, tütün ve trafik cezalarından beklenen gelir
Teklifte yer alan bütçe gelirlerinin 15 trilyon 631 milyar lirası vergi gelirlerinden oluşuyor. Bütçe teklifinin paylaşılan alt kalemlerine göre 2026’da Gelir Vergisiyle 3 trilyon 558 milyar lira, Kurumlar Vergisiyle 1 trilyon 740 milyar lira, Özel Tüketim Vergisi ile (ÖTV) 2 trilyon 549 milyar lira, Dahilde Alınan Katma Değer Vergisi (KDV) ile 3 trilyon 539 milyar lira, İthalde Alınan KDV ile 2 trilyon 96 milyar lira tahsil edilmesi bekleniyor.
Ayrıca ÖTV içinde yer alan alkollü içkilerden önceki yıla göre yüzde 28,7 artışla 191,6 milyar lira, tütün ürünlerinden ise yüzde 28,8 artışla 563 milyar liralık vergi geliri hedefleniyor. Motorlu taşıt araçlarından alınacak ÖTV tutarı ise 960 milyar lira olarak kaydediliyor.
205,8 milyar lirası vergi cezalarından olmak üzere, toplam 389 milyar liralık para cezasıyla gelir elde edilmesi bekleniyor. 81,5 milyar lira olması hedeflenen idari para cezaları içinde, 129,6 milyon liralık trafik cezası olacağı öngörülüyor.







